Официальное опубликование правовых актов
ОФИЦИАЛЬНОЕ ОПУБЛИКОВАНИЕ
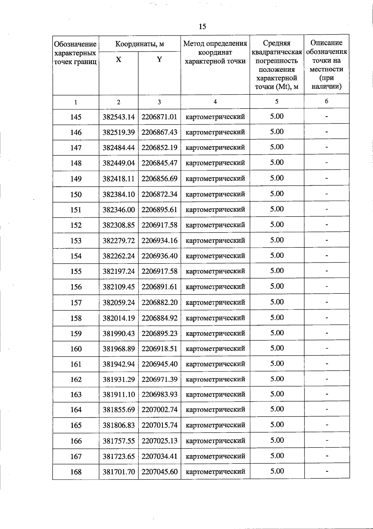
Постановление Правительства Тверской области от 27.11.2024 № 549-пп
"Об особо охраняемой природной территории регионального значения –государственном природном заказнике "Лесные массивы у озер Мец и Пучино"
Номер опубликования: 6900202411280017
Дата опубликования: 28.11.2024
Страница №15 из 23:
Увеличить