Официальное опубликование правовых актов
ОФИЦИАЛЬНОЕ ОПУБЛИКОВАНИЕ
Постановление Правительства Тверской области от 27.11.2024 № 549-пп
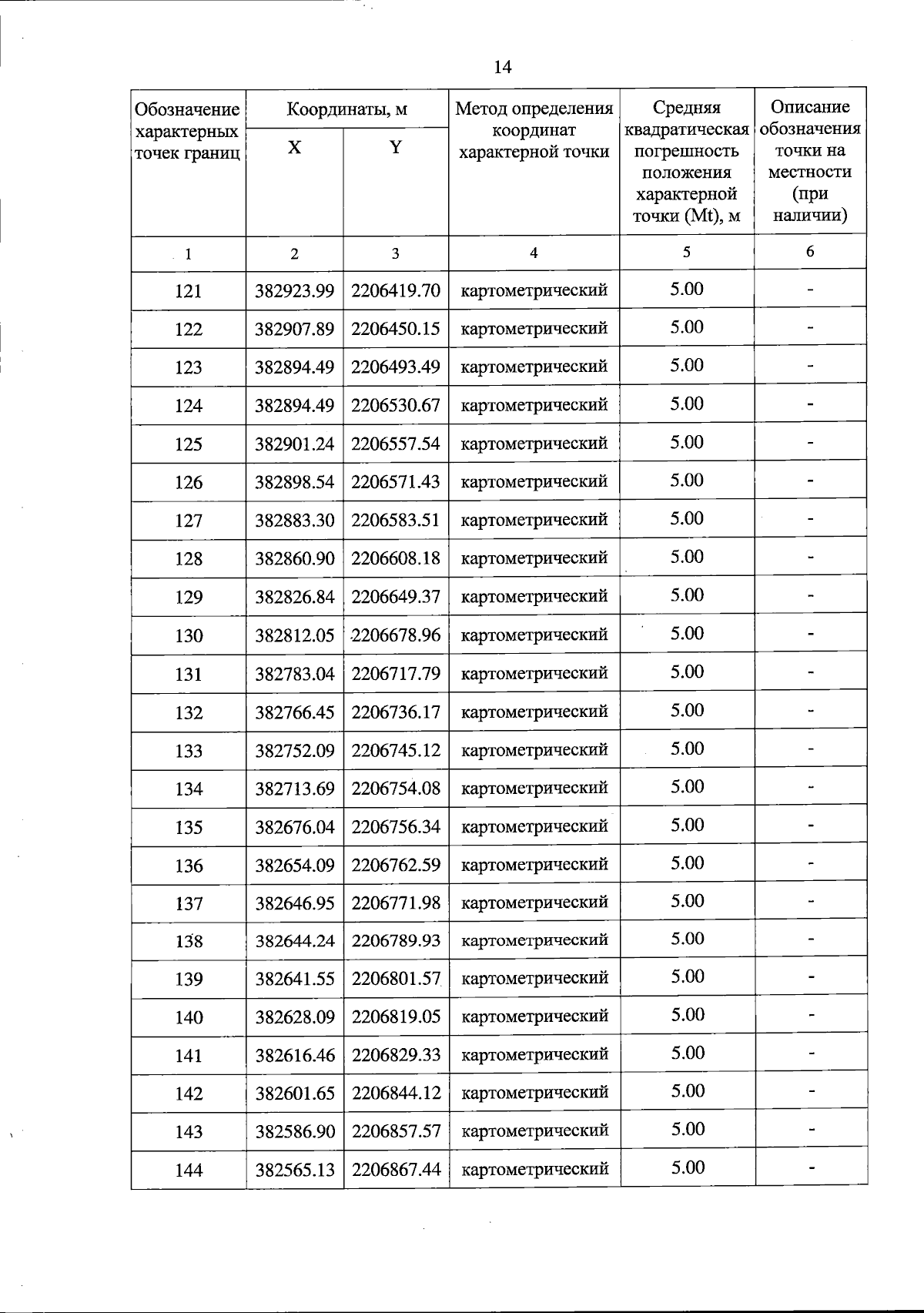
"Об особо охраняемой природной территории регионального значения –государственном природном заказнике "Лесные массивы у озер Мец и Пучино"
Номер опубликования: 6900202411280017
Дата опубликования: 28.11.2024
Страница №14 из 23:
Увеличить