Официальное опубликование правовых актов
ОФИЦИАЛЬНОЕ ОПУБЛИКОВАНИЕ
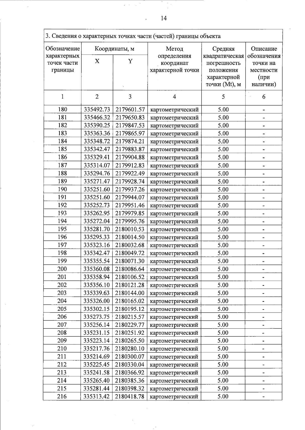
Постановление Правительства Тверской области от 11.07.2024 № 335-пп
"Об особо охраняемой природной территории регионального значения –государственном природном заказнике "Болото Коростовское"
Номер опубликования: 6900202407160023
Дата опубликования: 16.07.2024
Страница №14 из 21:
Увеличить