Официальное опубликование правовых актов
ОФИЦИАЛЬНОЕ ОПУБЛИКОВАНИЕ
Постановление Правительства Тверской области от 11.07.2024 № 335-пп
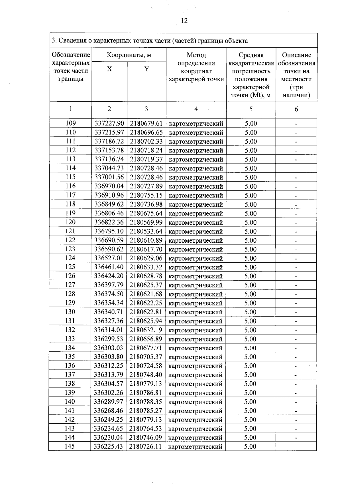
"Об особо охраняемой природной территории регионального значения –государственном природном заказнике "Болото Коростовское"
Номер опубликования: 6900202407160023
Дата опубликования: 16.07.2024
Страница №12 из 21:
Увеличить