Постановление Правительства Тверской области от 11.07.2024 № 335-пп
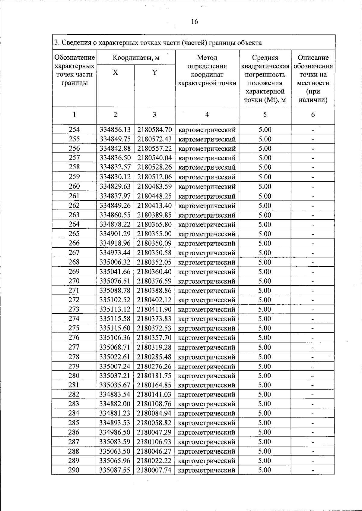
"Об особо охраняемой природной территории регионального значения –государственном природном заказнике "Болото Коростовское"
"Об особо охраняемой природной территории регионального значения –государственном природном заказнике "Болото Коростовское"
Номер опубликования: 6900202407160023
Дата опубликования:
16.07.2024
