Официальное опубликование правовых актов
ОФИЦИАЛЬНОЕ ОПУБЛИКОВАНИЕ
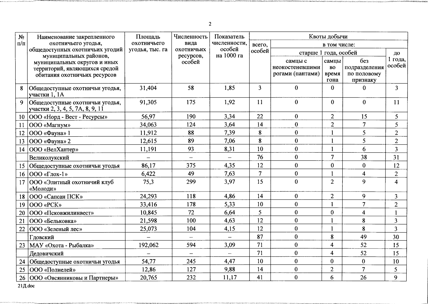
Указ Губернатора Псковской области от 19.07.2024 № 135-УГ
"О лимитах и квотах добычи охотничьих ресурсов на территории Псковской области на период с 01 августа 2024 года до 01 августа 2025 года"
Номер опубликования: 6000202407230001
Дата опубликования: 23.07.2024
Страница №5 из 51:
Увеличить