Официальное опубликование правовых актов
ОФИЦИАЛЬНОЕ ОПУБЛИКОВАНИЕ
Постановление Правительства Нижегородской области от 25.01.2017 № 22
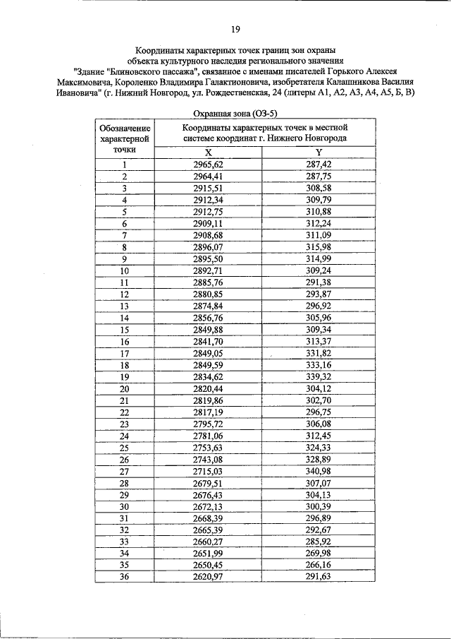
"Об утверждении границ зон охраны объектов культурного наследия регионального значения, расположенных в г. Нижнем Новгороде, особых режимов использования земель и требований к градостроительным регламентам в утвержденных границах"
Номер опубликования: 5200201701270001
Дата опубликования: 27.01.2017
Страница №21 из 33:
Увеличить