Приказ Комитета по охране объектов культурного наследия Курской области от 02.05.2023 № 05.3-08/343
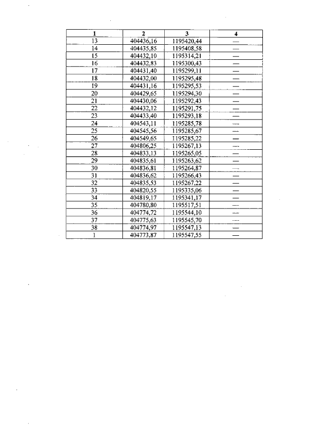
"О включении выявленных объектов культурного наследия "Северо-западная башня Николаевского монастыря, XIX в.", "Северо-восточная башня Николаевского монастыря, XIX в.", "Юго-западная башня Николаевского монастыря, XIX в.", расположенных по адресу: Курская область, Рыльский район, Николаевский монастырь, д. Пригородняя слобода, в единый государственный реестр объектов культурного наследия (памятников истории и культуры) народов Российской Федерации в качестве объектов культурного наследия регионального значения "Северо-западная башня", "Северо-восточная башня", "Юго-западная башня" и утверждении границ их территории и режима использования земельного участка в границах территории"
(Зарегистрирован 02.05.2023 № 495.23.25)
"О включении выявленных объектов культурного наследия "Северо-западная башня Николаевского монастыря, XIX в.", "Северо-восточная башня Николаевского монастыря, XIX в.", "Юго-западная башня Николаевского монастыря, XIX в.", расположенных по адресу: Курская область, Рыльский район, Николаевский монастырь, д. Пригородняя слобода, в единый государственный реестр объектов культурного наследия (памятников истории и культуры) народов Российской Федерации в качестве объектов культурного наследия регионального значения "Северо-западная башня", "Северо-восточная башня", "Юго-западная башня" и утверждении границ их территории и режима использования земельного участка в границах территории"
(Зарегистрирован 02.05.2023 № 495.23.25)
Номер опубликования: 4601202305050005
Дата опубликования:
05.05.2023
