Постановление Правительства Удмуртской Республики от 12.10.2023 № 673
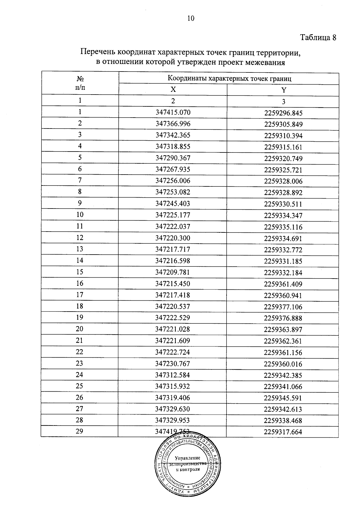
"Об утверждении документации по планировке территории (проекта планировки территории и проекта межевания территории) линейного объекта "Создание частного питомника по выращиванию хвойных саженцев в г. Сарапул. Автомобильная дорога"
"Об утверждении документации по планировке территории (проекта планировки территории и проекта межевания территории) линейного объекта "Создание частного питомника по выращиванию хвойных саженцев в г. Сарапул. Автомобильная дорога"
Номер опубликования: 1800202310180017
Дата опубликования:
18.10.2023
