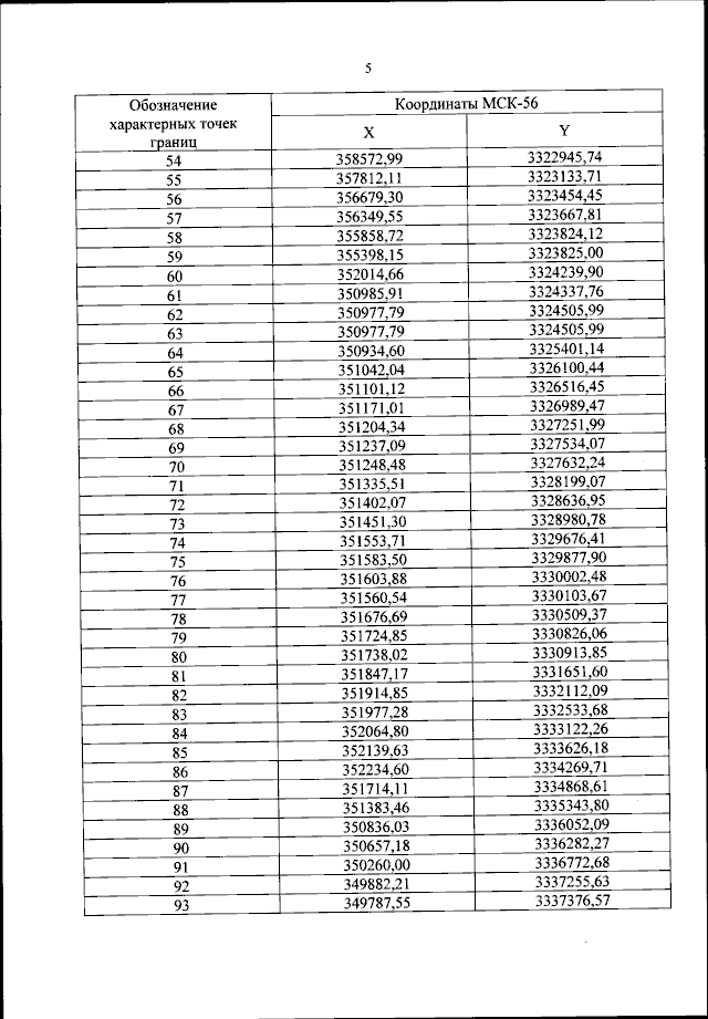
Приказ Федерального агентства воздушного транспорта от 15.01.2024 № 15-П
"Об установлении приаэродромной территории аэродрома гражданской авиации Орск"
(Зарегистрирован 13.02.2024 № 77244)
"Об установлении приаэродромной территории аэродрома гражданской авиации Орск"
(Зарегистрирован 13.02.2024 № 77244)
Номер опубликования: 0001202402140020
Дата опубликования:
14.02.2024
