Официальное опубликование правовых актов
ОФИЦИАЛЬНОЕ ОПУБЛИКОВАНИЕ
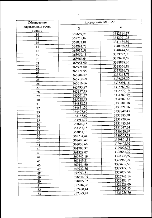
Приказ Федерального агентства воздушного транспорта от 15.01.2024 № 15-П
"Об установлении приаэродромной территории аэродрома гражданской авиации Орск"
(Зарегистрирован 13.02.2024 № 77244)
Номер опубликования: 0001202402140020
Дата опубликования: 14.02.2024
Страница №5 из 257:
Увеличить