Официальное опубликование правовых актов
ОФИЦИАЛЬНОЕ ОПУБЛИКОВАНИЕ
Приказ Министерства природных ресурсов и экологии Российской Федерации от 22.11.2021 № 874
"Об утверждении Положения о национальном парке "Самурский"
(Зарегистрирован 09.06.2022 № 68810)
Номер опубликования: 0001202206090033
Дата опубликования: 09.06.2022
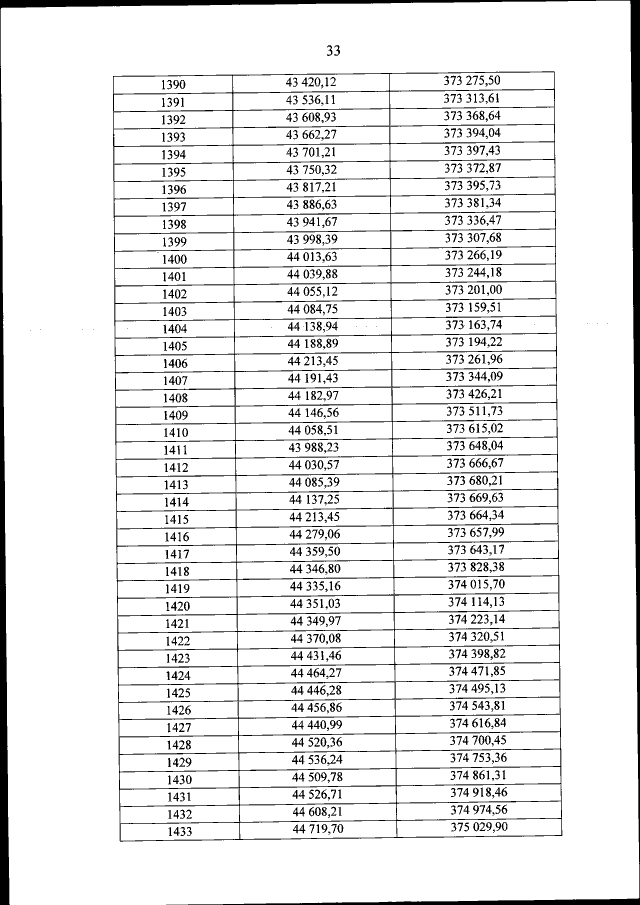
Страница №49 из 79:
Увеличить