Официальное опубликование правовых актов
ОФИЦИАЛЬНОЕ ОПУБЛИКОВАНИЕ
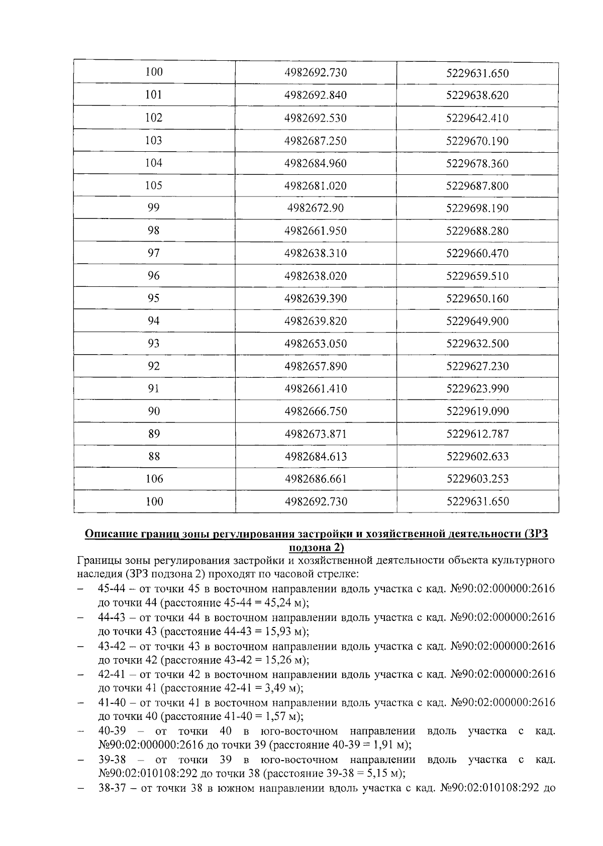
Приказ Министерства культуры Республики Крым от 05.12.2024 № 726-ОКН
"Об утверждении границ зон охраны, режимов использования земель и требований к градостроительным регламентам в границах зон охраны объекта культурного наследия федерального значения "Караван-сарай", XIII – XVI века, расположенного по адресу: Республика Крым, г. Белогорск, ул. Луначарского"
(Зарегистрирован 12.12.2024 № 1969)
Номер опубликования: 9101202412130011
Дата опубликования: 13.12.2024
Страница №11 из 27:
Увеличить