Официальное опубликование правовых актов
ОФИЦИАЛЬНОЕ ОПУБЛИКОВАНИЕ
Приказ Министерства культуры Республики Крым от 17.10.2024 № 584-ОКН
"Об утверждении границ территории, режимов использования земель в границах территории объекта культурного наследия регионального значения "Здание Таврической губернской земской управы", начало XX века, расположенного по адресу: Республика Крым, г. Симферополь, ул. Долгоруковская, 2/ ул. Жуковского, 3/ ул. К. Маркса, 17, литер "В"
(Зарегистрирован 21.10.2024 № 1774)
Номер опубликования: 9101202410240010
Дата опубликования: 24.10.2024
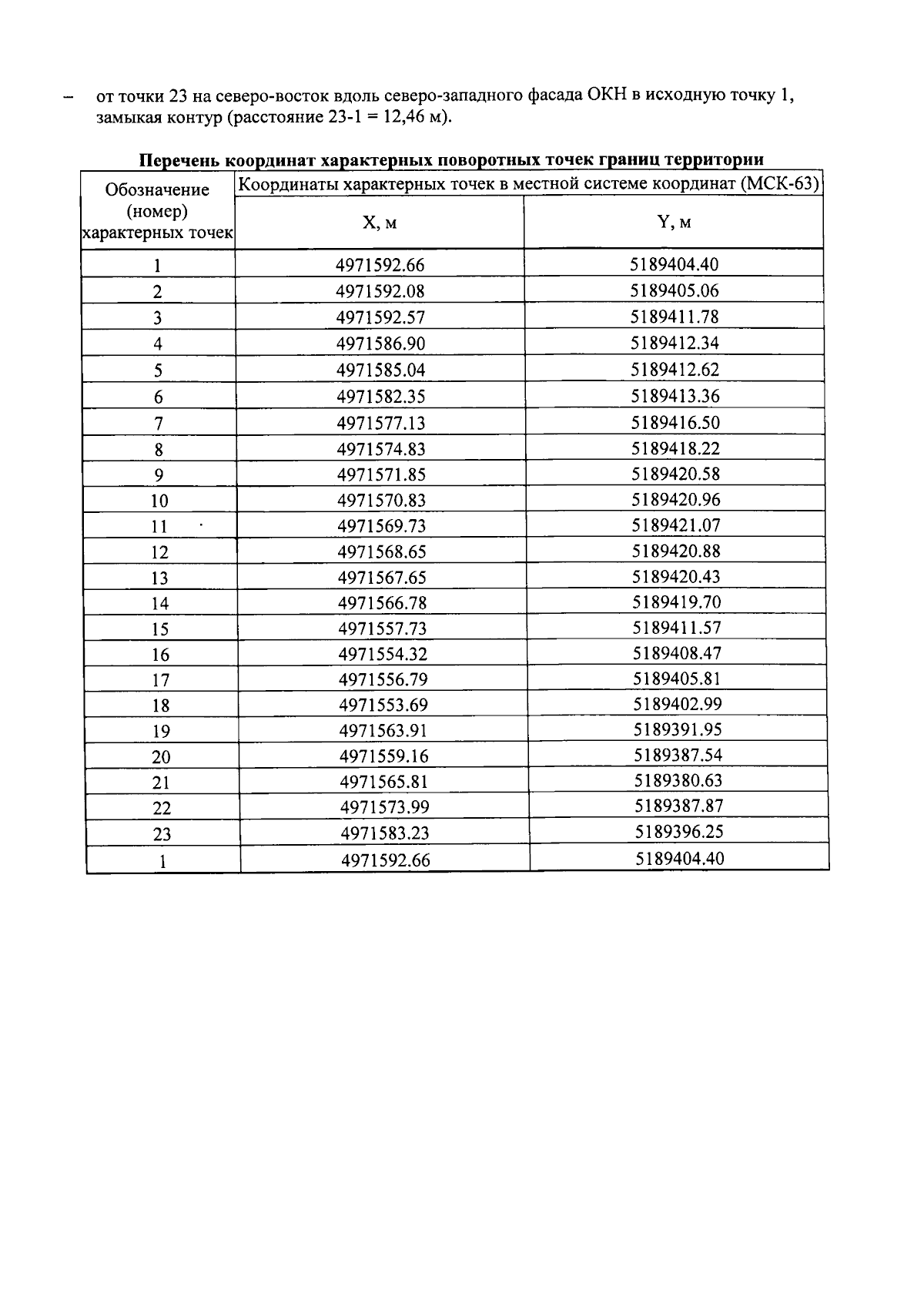
Страница №4 из 6:
Увеличить