Приказ Министерства культуры Республики Крым от 01.10.2024 № 503-ОКН
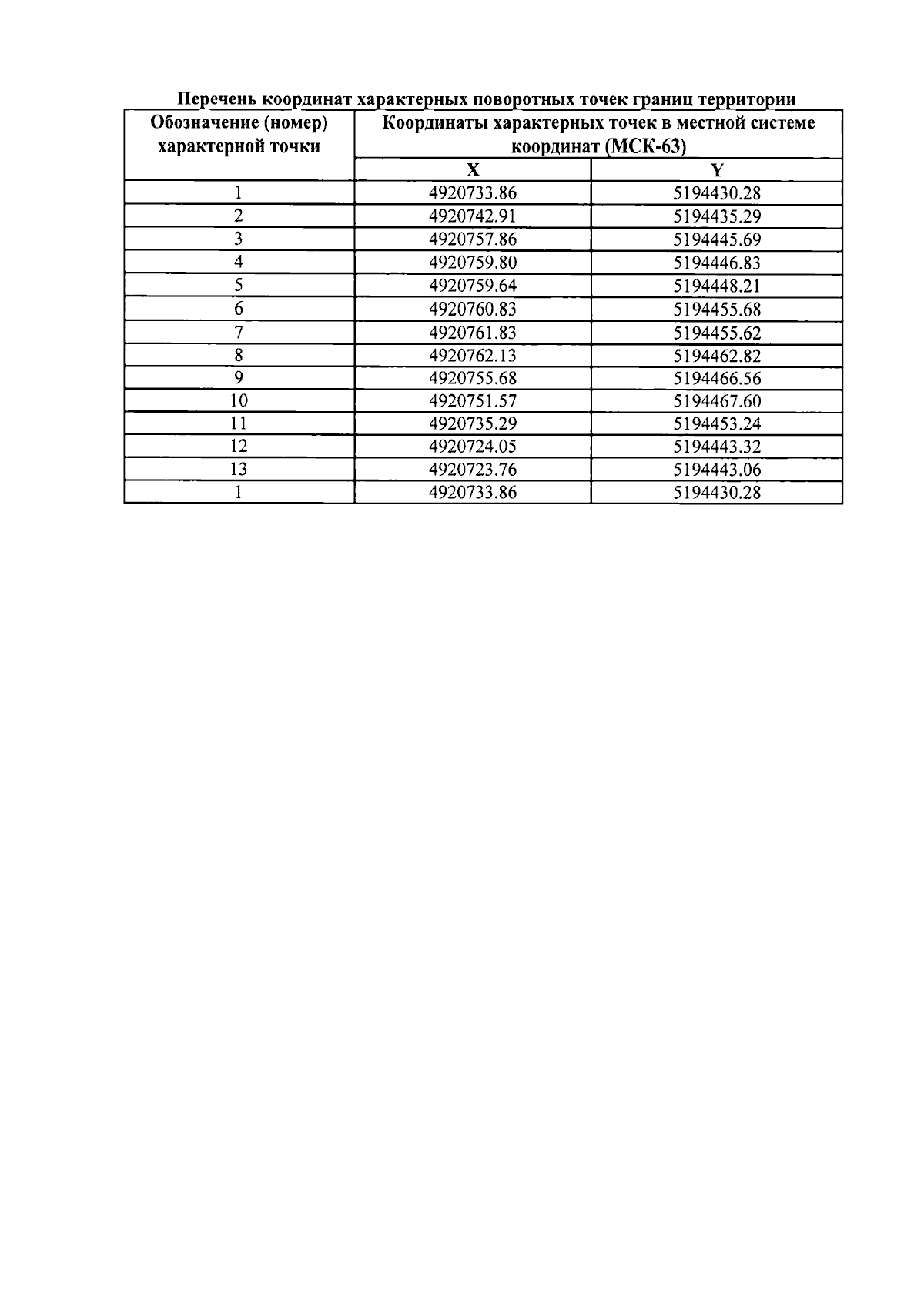
"Об утверждении границ территории, режимов использования земель в границах территории объекта культурного наследия регионального значения "Дом жилой", середина XIX века, расположенного по адресу: Республика Крым, г. Ялта, ул. Рузвельта, 6"
(Зарегистрирован 02.10.2024 № 1721)
"Об утверждении границ территории, режимов использования земель в границах территории объекта культурного наследия регионального значения "Дом жилой", середина XIX века, расположенного по адресу: Республика Крым, г. Ялта, ул. Рузвельта, 6"
(Зарегистрирован 02.10.2024 № 1721)
Номер опубликования: 9101202410070003
Дата опубликования:
07.10.2024
