Официальное опубликование правовых актов
ОФИЦИАЛЬНОЕ ОПУБЛИКОВАНИЕ
Приказ Министерства культуры Республики Крым от 24.05.2024 № 231-ОКН
"Об утверждении границ зон охраны, режимов использования земель и требований к градостроительным регламентам в границах зон охраны объекта культурного наследия регионального значения "Дача "Модерн" П.И. Махлиса", начало XX века, расположенного по адресу: Республика Крым, г. Алушта, ул. Ленина, 8 (литеры "Б", "Б2", "б5")"
(Зарегистрирован 28.05.2024 № 1432)
Номер опубликования: 9101202406030003
Дата опубликования: 03.06.2024
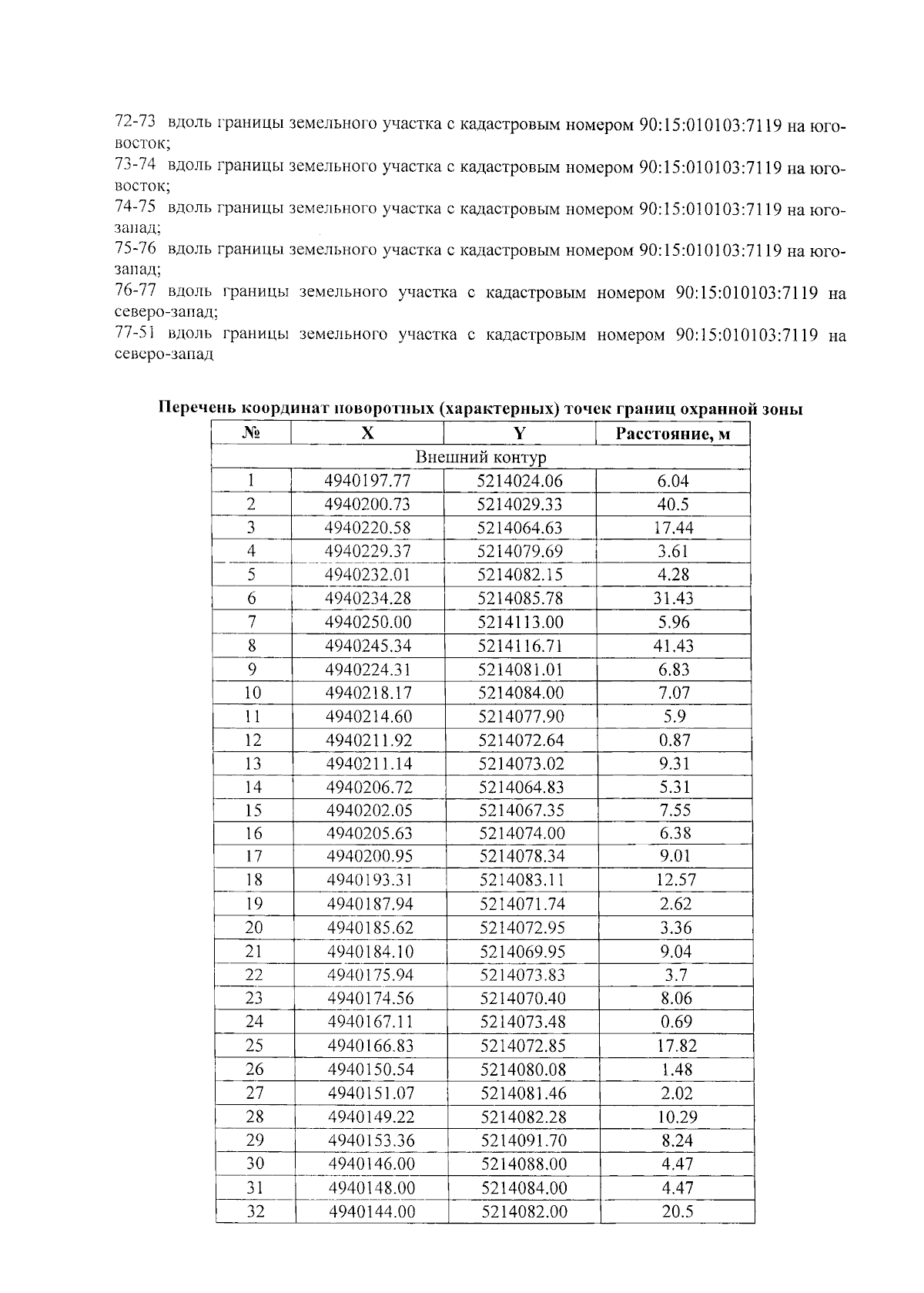
Страница №6 из 23:
Увеличить