Официальное опубликование правовых актов
ОФИЦИАЛЬНОЕ ОПУБЛИКОВАНИЕ
Приказ Министерства культуры Республики Крым от 17.08.2023 № 263-окн
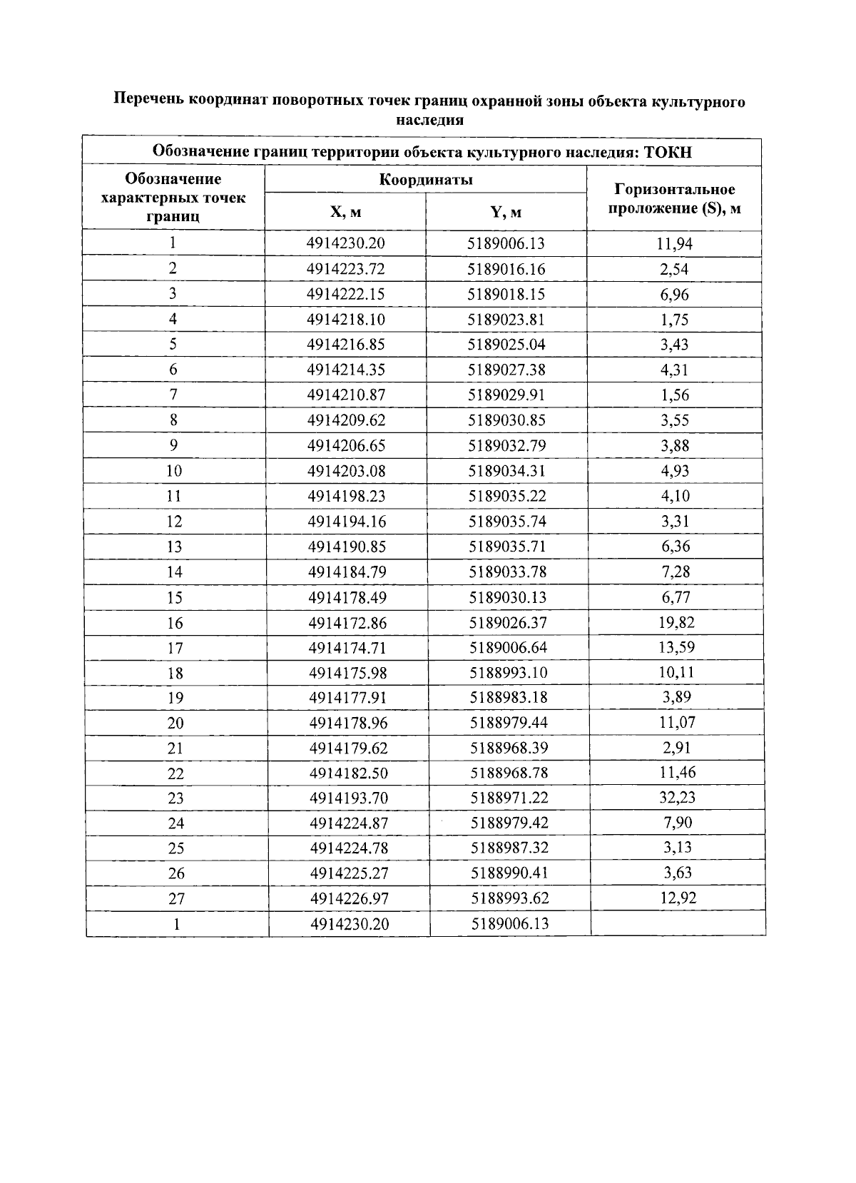
"Об утверждении границ территории, режимов использования земель в границах территории объекта культурного наследия регионального значения "Особняк", конец XIX века - начало XX века, расположенного по адресу: Республика Крым, городской округ Ялта, пгт Гаспра, ул. Севастопольское шоссе, 8 (корпус № 1 - литеры "А", "Б")"
(Зарегистрирован 21.08.2023 № 610)
Номер опубликования: 9101202308280007
Дата опубликования: 28.08.2023
Страница №4 из 7:
Увеличить