Официальное опубликование правовых актов
ОФИЦИАЛЬНОЕ ОПУБЛИКОВАНИЕ
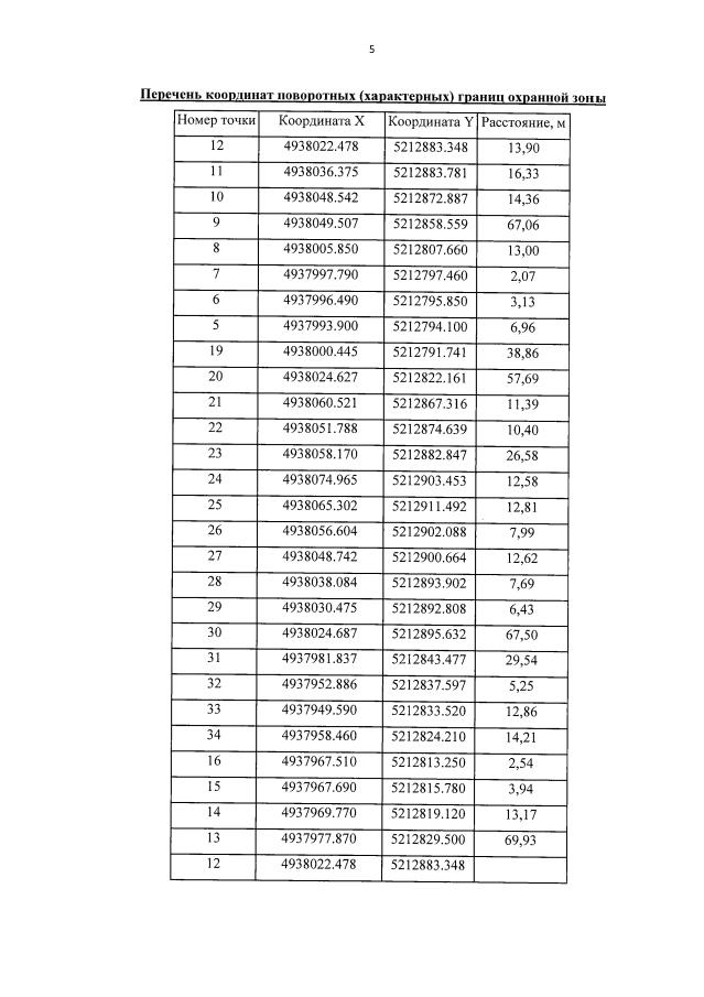
Приказ Министерства культуры Республики Крым от 13.05.2022 № 259-окн
"Об утверждении границ зон охраны, режимов использования земель и требований к градостроительным регламентам в границах зон охраны объекта культурного наследия регионального значения "Клуб-столовая санатория "Алушта", 1946 год", расположенного по адресу: Республика Крым, г. Алушта, ул. Глазскрицкого, 8, литер "Е"
Номер опубликования: 9101202205160002
Дата опубликования: 16.05.2022
Страница №4 из 19:
Увеличить