Официальное опубликование правовых актов
ОФИЦИАЛЬНОЕ ОПУБЛИКОВАНИЕ
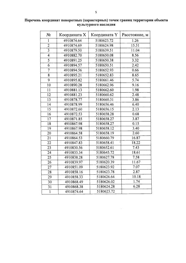
Приказ Министерства культуры Республики Крым от 28.04.2022 № 221-окн
"Об утверждении границ территории и режимов использования земель в границах территории объекта культурного наследия регионального значения "Вилла "Красный мак" В.В. Пузановой (архитектор М.Ф. Пискунов), начало XX века", расположенного по адресу: Республика Крым, городской округ Ялта, пгт Симеиз, ул. Красномаякская, 16"
Номер опубликования: 9101202204290014
Дата опубликования: 29.04.2022
Страница №4 из 7:
Увеличить