Официальное опубликование правовых актов
ОФИЦИАЛЬНОЕ ОПУБЛИКОВАНИЕ
Приказ Министерства культуры Республики Крым от 28.04.2022 № 217-окн
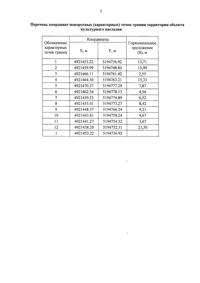
"Об утверждении границ территории и режимов использования земель в границах территории объекта культурного наследия регионального значения "Дом, в котором в 1886 - 1887 годах жил поэт Я.С. Надсон, конец XIX века", расположенного по адресу: Республика Крым, г. Ялта, ул. Бассейная, 24, литер "А"
Номер опубликования: 9101202204290009
Дата опубликования: 29.04.2022
Страница №4 из 7:
Увеличить