Официальное опубликование правовых актов
ОФИЦИАЛЬНОЕ ОПУБЛИКОВАНИЕ
Приказ Министерства культуры Республики Крым от 16.03.2022 № 94-окн
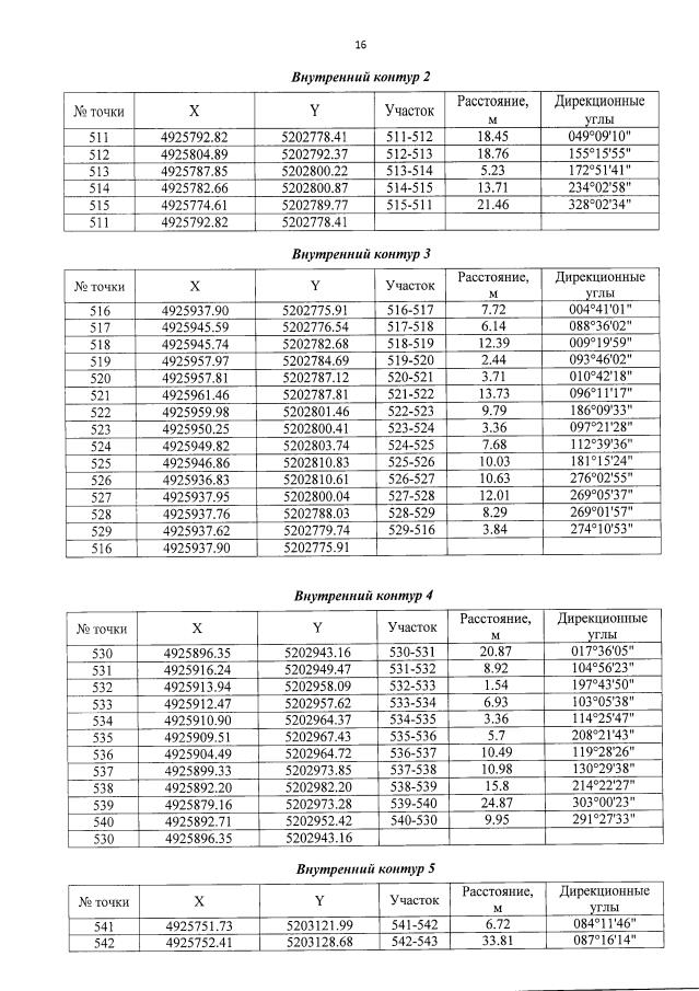
"Об утверждении границ объединенных зон охраны, режимов использования земель и требований к градостроительным регламентам в границах объединенных зон охраны объектов культурного наследия федерального значения: "Дом, в котором жил А.С. Пушкин, конец XVIII – начало XIX века", расположенный по адресу: Республика Крым, городской округ Ялта, пгт Гурзуф, набережная им. А.С. Пушкина, д. 3, литера "А"; "Комплекс дач–гостиниц П.И. Губонина, 1885–1890 годы", расположенный по адресу: Республика Крым, городской округ Ялта, пгт Гурзуф, ул. Ленинградская, д. 1; регионального значения: "Дом жилой, начало XX века", расположенный по адресу: Республика Крым, городской округ Ялта, пгт Гурзуф, ул. Ленинградская, 12; "Дом жилой, начало XX века", расположенный по адресу: Республика Крым, городской округ Ялта, пгт Гурзуф, ул. Ленинградская, 16; "Приходское училище, начало XX века", расположенное по адресу: Республика Крым, городской округ Ялта, пгт Гурзуф, ул. Ленинградская, 58, литер "А"; "Фонтан "Ночь", конец XIX века", расположенный по адресу: Республика Крым, городской округ Ялта, пгт Гурзуф, ул. Ленинградская, 1; "Фонтан "Рахиль", конец XIX века", расположенный по адресу: Республика Крым, городской округ Ялта, пгт Гурзуф, ул. Ленинградская, 1; "Памятник А.С. Пушкину (скульпторы О.Д. Минькова, К.Г. Кошкин), XX век", расположенный по адресу: Республика Крым, городской округ Ялта, пгт Гурзуф, ул. Ленинградская, 1; "Памятник В.И. Ленину (скульпторы В.В. Петренко, Н.И. Петрова), 1966 год", расположенный по адресу: Республика Крым, городской округ Ялта, пгт Гурзуф, ул. Ленинградская, 1; "Памятник З.П. Соловьеву (скульптор В.И. Федотов), 1976 год", расположенный по адресу: Республика Крым, городской округ Ялта, пгт Гурзуф, ул. Ленинградская, 1; "Вилла "Саламбо" К.А. Коровина, начало XX века", расположенная по адресу: Республика Крым, городской округ Ялта, пгт Гурзуф, ул. Чехова, 1"
Номер опубликования: 9101202203210001
Дата опубликования: 21.03.2022
Страница №15 из 41:
Увеличить