Официальное опубликование правовых актов
ОФИЦИАЛЬНОЕ ОПУБЛИКОВАНИЕ
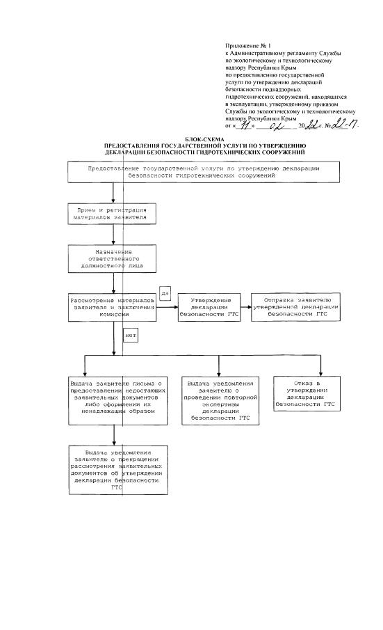
Приказ Службы по экологическому и технологическому надзору Республики Крым от 11.02.2022 № 22-п
"О внесении изменений в приказ Службы по экологическому и технологическому надзору Республики Крым от 19 августа 2015 года № 138 "Об утверждении Административного регламента Службы по экологическому и технологическому надзору Республики Крым по предоставлению государственной услуги по утверждению деклараций безопасности поднадзорных гидротехнических сооружений, находящихся в эксплуатации"
Номер опубликования: 9101202202170008
Дата опубликования: 17.02.2022
Страница №32 из 36:
Увеличить