Официальное опубликование правовых актов
ОФИЦИАЛЬНОЕ ОПУБЛИКОВАНИЕ
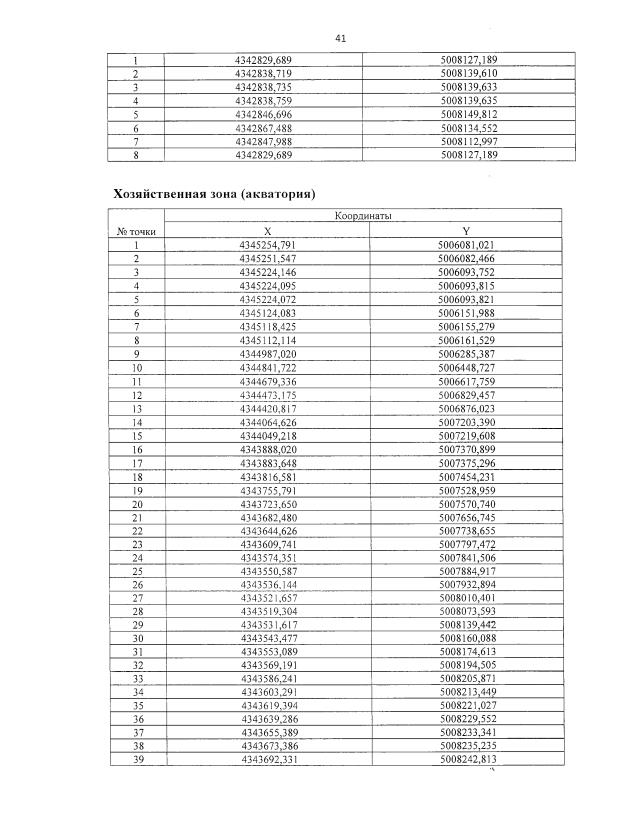
Приказ Министерства экологии и природных ресурсов Республики Крым от 11.02.2022 № 138
"Об утверждении Положения о ландшафтно-рекреационном парке регионального значения Республики Крым "Ойбурский"
Номер опубликования: 9101202202170002
Дата опубликования: 17.02.2022
Страница №42 из 47:
Увеличить