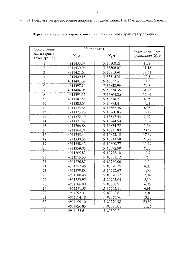
Приказ Министерства культуры Республики Крым от 02.12.2021 № 556-окн
"Об утверждении границ территории, режимов использования земель в границах территории объекта культурного наследия регионального значения "Особняк А.А. Боброва (архитектор Н.П. Краснов), конец XIX века - начало XX века", расположенного по адресу: Республика Крым, городской округ Ялта, г. Алупка, ул. 1-го Мая, 7, литер "А"
"Об утверждении границ территории, режимов использования земель в границах территории объекта культурного наследия регионального значения "Особняк А.А. Боброва (архитектор Н.П. Краснов), конец XIX века - начало XX века", расположенного по адресу: Республика Крым, городской округ Ялта, г. Алупка, ул. 1-го Мая, 7, литер "А"
Номер опубликования: 9101202112030002
Дата опубликования:
03.12.2021
