Официальное опубликование правовых актов
ОФИЦИАЛЬНОЕ ОПУБЛИКОВАНИЕ
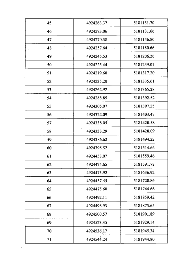
Постановление Совета министров Республики Крым от 28.04.2022 № 301
"О внесении изменений в постановление Совета министров Республики Крым от 05 апреля 2016 года № 129"
Номер опубликования: 9100202205040003
Дата опубликования: 04.05.2022
Страница №53 из 126:
Увеличить