Официальное опубликование правовых актов
ОФИЦИАЛЬНОЕ ОПУБЛИКОВАНИЕ
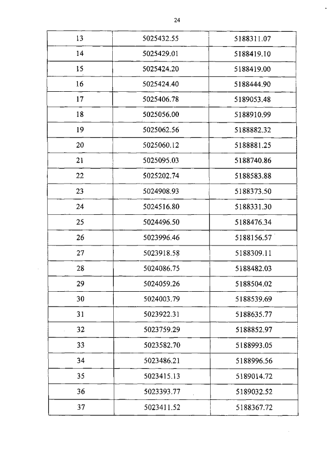
Постановление Совета министров Республики Крым от 09.02.2021 № 66
"О внесении изменений в постановление Совета министров Республики Крым от 23 декабря 2014 года № 587"
Номер опубликования: 9100202102100001
Дата опубликования: 10.02.2021
Страница №24 из 197:
Увеличить