Официальное опубликование правовых актов
ОФИЦИАЛЬНОЕ ОПУБЛИКОВАНИЕ
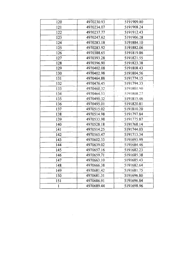
Постановление Совета министров Республики Крым от 06.11.2018 № 551
"О внесении изменений в постановление Совета министров Республики Крым от 18 апреля 2017 года № 215"
Номер опубликования: 9100201811080001
Дата опубликования: 08.11.2018
Страница №39 из 39:
Увеличить