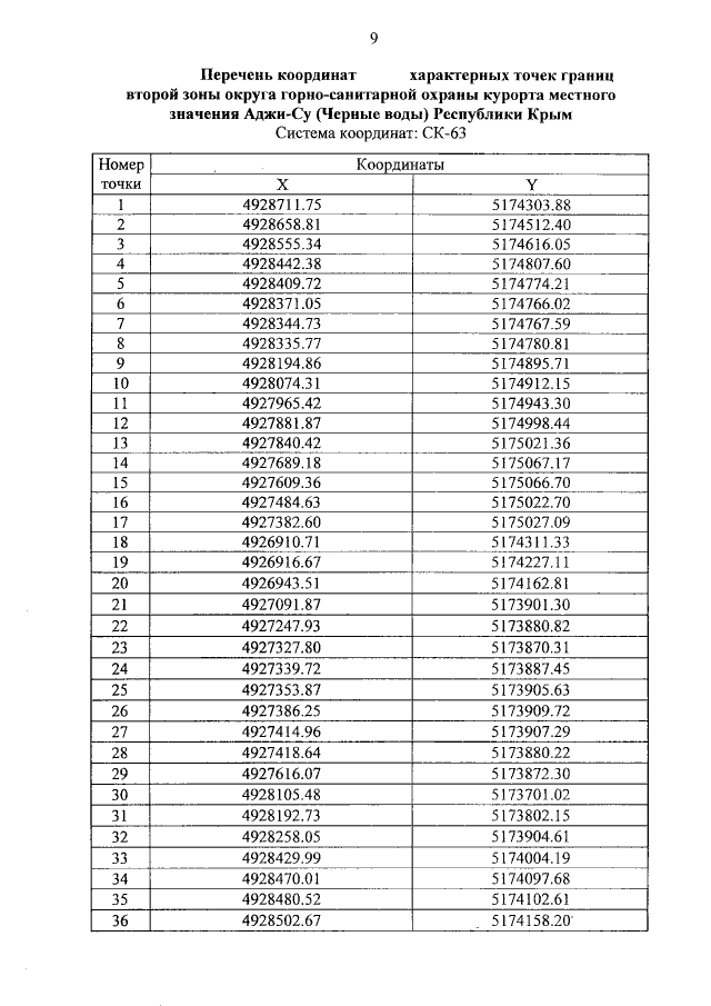
Постановление Совета министров Республики Крым от 28.08.2018 № 425
"Об установлении границ и режима округа горно-санитарной охраны курорта местного значения Аджи-Су (Черные воды) Республики Крым"
"Об установлении границ и режима округа горно-санитарной охраны курорта местного значения Аджи-Су (Черные воды) Республики Крым"
Номер опубликования: 9100201809040003
Дата опубликования:
04.09.2018
