Официальное опубликование правовых актов
ОФИЦИАЛЬНОЕ ОПУБЛИКОВАНИЕ
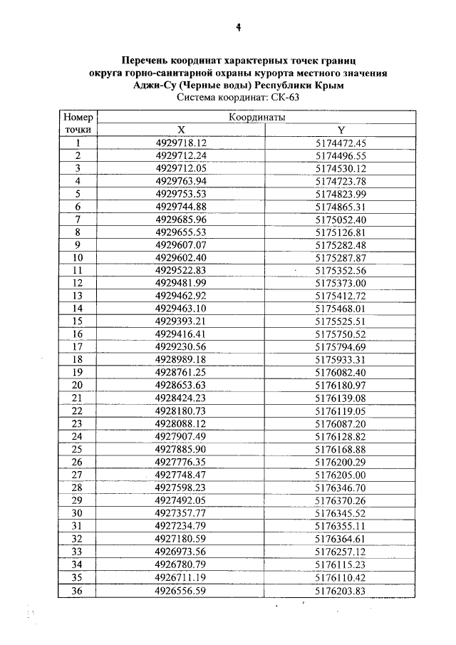
Постановление Совета министров Республики Крым от 28.08.2018 № 425
"Об установлении границ и режима округа горно-санитарной охраны курорта местного значения Аджи-Су (Черные воды) Республики Крым"
Номер опубликования: 9100201809040003
Дата опубликования: 04.09.2018
Страница №4 из 13:
Увеличить