Официальное опубликование правовых актов
ОФИЦИАЛЬНОЕ ОПУБЛИКОВАНИЕ
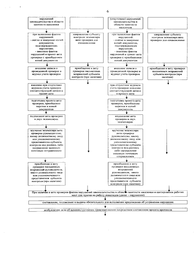
Приказ Департамента занятости населения Ямало-Ненецкого автономного округа от 30.01.2018 № 15-О
"О внесении изменений в некоторые Административные регламенты департамента занятости населения Ямало-Ненецкого автономного округа по исполнению государственных функций"
(Зарегистрирован 31.01.2018 № 20)
Номер опубликования: 8901201802010001
Дата опубликования: 01.02.2018
Страница №6 из 8:
Увеличить