Официальное опубликование правовых актов
ОФИЦИАЛЬНОЕ ОПУБЛИКОВАНИЕ
Постановление Правительства Ямало-Ненецкого автономного округа от 25.12.2025 № 723-П
"Об утверждении региональной программы "Укрепление здоровья и формирование здоровьесберегающей среды в Ямало-Ненецком автономном округе"
Номер опубликования: 8900202512290026
Дата опубликования: 29.12.2025
Страница №12 из 77:
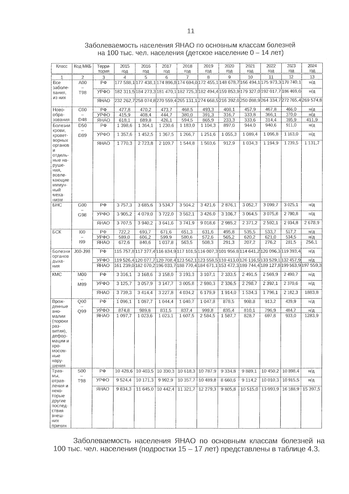
Увеличить