Официальное опубликование правовых актов
ОФИЦИАЛЬНОЕ ОПУБЛИКОВАНИЕ
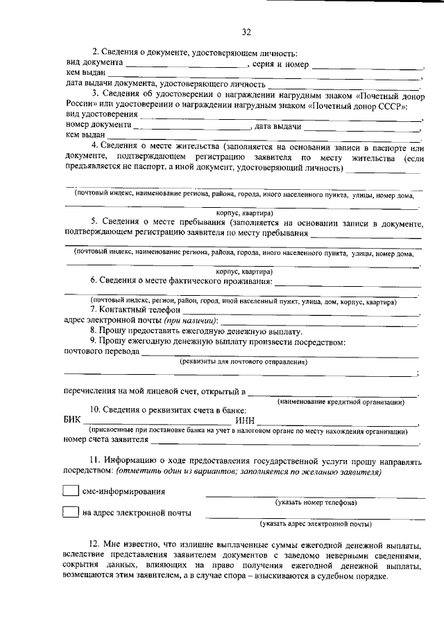
Постановление Правительства Ямало-Ненецкого автономного округа от 23.07.2018 № 770-П
"О внесении изменений в некоторые Административные регламенты департамента социальной защиты населения Ямало-Ненецкого автономного округа по предоставлению государственных услуг"
Номер опубликования: 8900201807310004
Дата опубликования: 31.07.2018
Страница №33 из 35:
Увеличить