Официальное опубликование правовых актов
ОФИЦИАЛЬНОЕ ОПУБЛИКОВАНИЕ
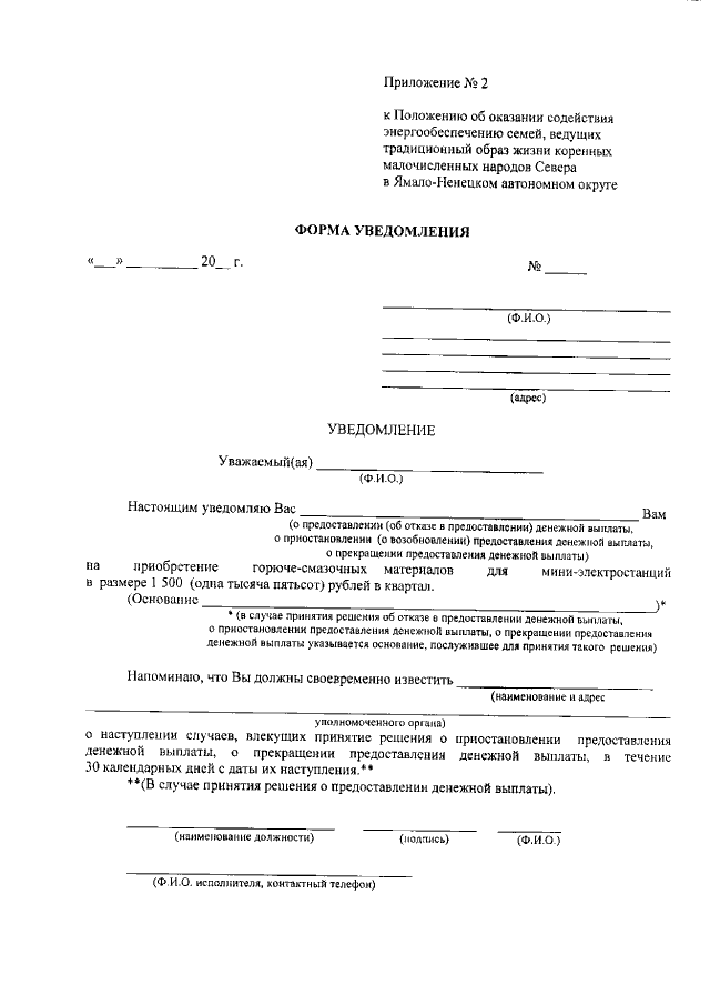
Постановление Правительства Ямало-Ненецкого автономного округа от 18.04.2017 № 349-П
"Об оказании содействия энергообеспечению семей, ведущих традиционный образ жизни коренных малочисленных народов Севера в Ямало-Ненецком автономном округе"
Номер опубликования: 8900201704240017
Дата опубликования: 24.04.2017
Страница №13 из 13:
Увеличить