Официальное опубликование правовых актов
ОФИЦИАЛЬНОЕ ОПУБЛИКОВАНИЕ
Постановление Правительства Чукотского автономного округа от 29.12.2023 № 523
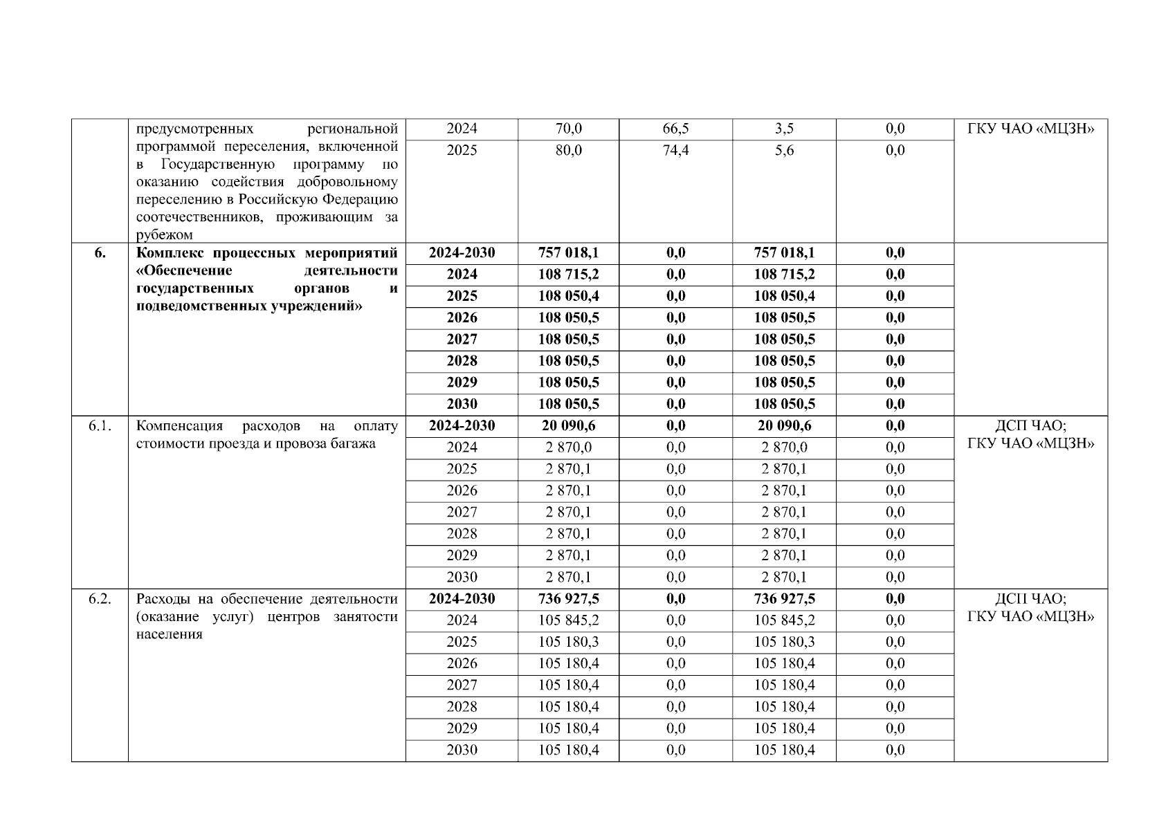
"Об утверждении перечня расходных обязательств Государственной программы "Развитие занятости населения Чукотского автономного округа"
Номер опубликования: 8700202401030013
Дата опубликования: 03.01.2024
Страница №7 из 8:
Увеличить