Официальное опубликование правовых актов
ОФИЦИАЛЬНОЕ ОПУБЛИКОВАНИЕ
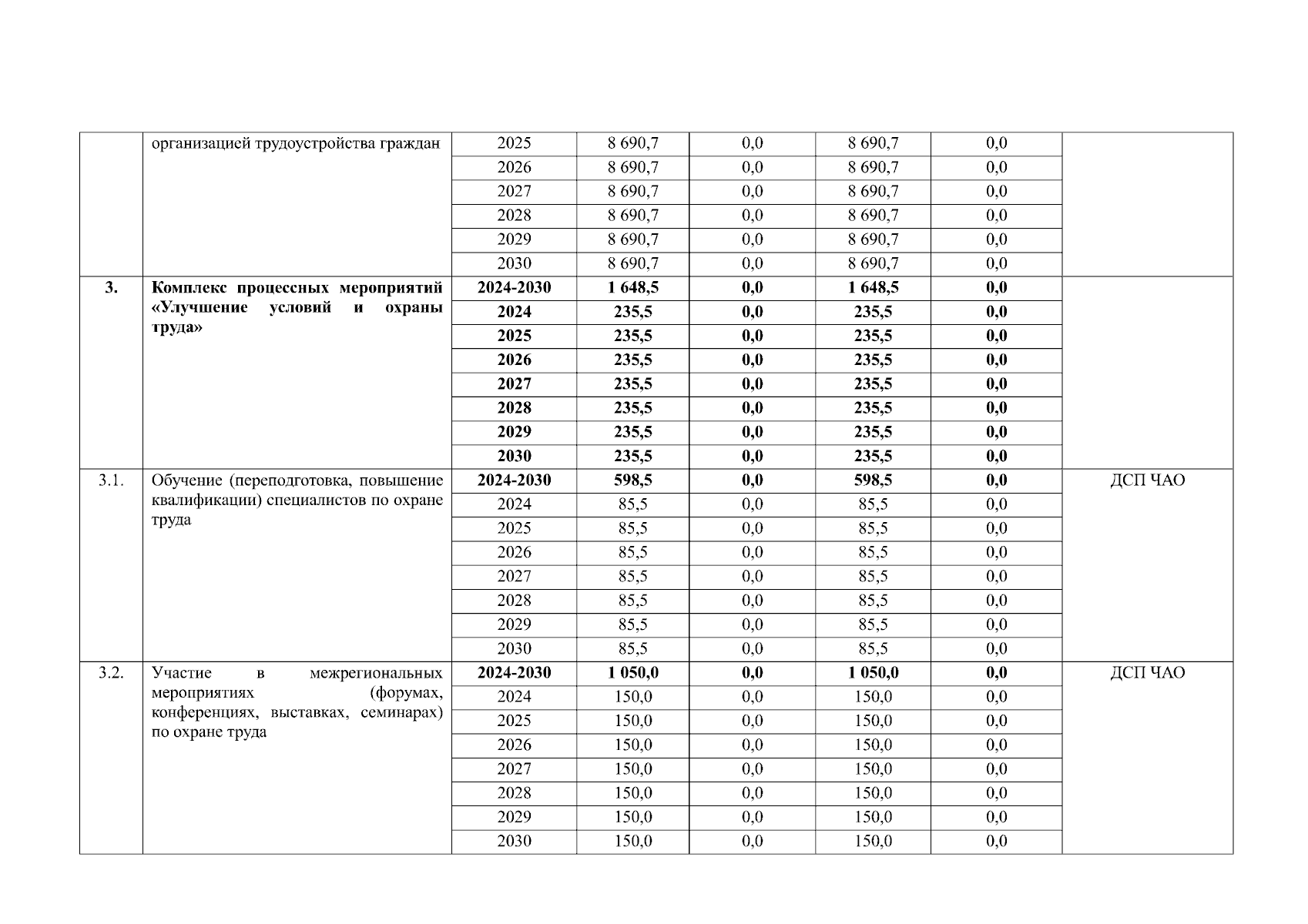
Постановление Правительства Чукотского автономного округа от 29.12.2023 № 523
"Об утверждении перечня расходных обязательств Государственной программы "Развитие занятости населения Чукотского автономного округа"
Номер опубликования: 8700202401030013
Дата опубликования: 03.01.2024
Страница №5 из 8:
Увеличить