Официальное опубликование правовых актов
ОФИЦИАЛЬНОЕ ОПУБЛИКОВАНИЕ
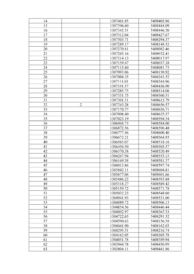
Постановление Правительства Чукотского автономного округа от 21.02.2019 № 88
"Об утверждении Положения и Паспорта памятника природы регионального значения "Раучуагытгын"
Номер опубликования: 8700201902250003
Дата опубликования: 25.02.2019
Страница №26 из 28:
Увеличить