Официальное опубликование правовых актов
ОФИЦИАЛЬНОЕ ОПУБЛИКОВАНИЕ
Постановление Правительства Чукотского автономного округа от 05.10.2018 № 314
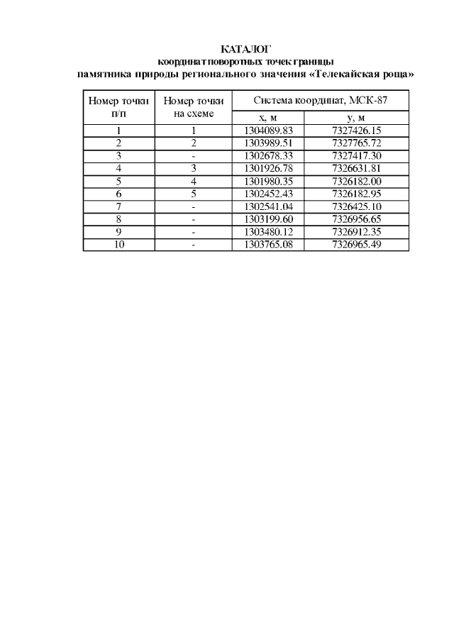
"Об утверждении Положения и Паспорта памятника природы регионального значения "Телекайская роща"
Номер опубликования: 8700201810080011
Дата опубликования: 08.10.2018
Страница №18 из 18:
Увеличить