Официальное опубликование правовых актов
ОФИЦИАЛЬНОЕ ОПУБЛИКОВАНИЕ
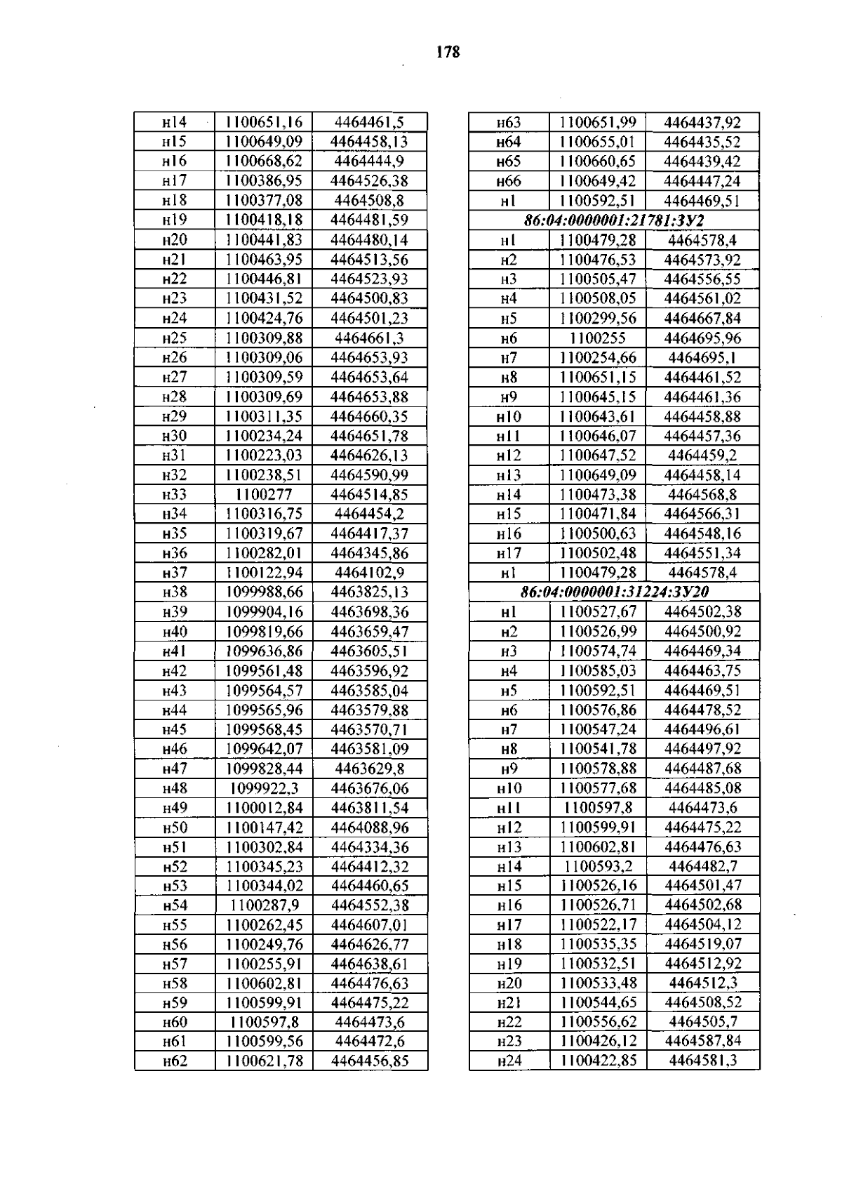
Приказ Департамента пространственного развития и архитектуры Ханты-Мансийского автономного округа - Югры от 24.07.2024 № 36-нп
"О внесении изменений в приказ Департамента строительства Ханты-Мансийского автономного округа – Югры от 19 июля 2021 года № 15-нп "Об утверждении документации по планировке территории и внесении изменений в приказ Департамента строительства Ханты-Мансийского автономного округа – Югры от 21 сентября 2020 года № 23-нп "Об утверждении документации по планировке территории и внесении изменений в некоторые приказы Департамента строительства Ханты-Мансийского автономного округа – Югры"
(Зарегистрирован 26.07.2024 № 7633)
Номер опубликования: 8601202407300001
Дата опубликования: 30.07.2024
Страница №178 из 222:
Увеличить