Официальное опубликование правовых актов
ОФИЦИАЛЬНОЕ ОПУБЛИКОВАНИЕ
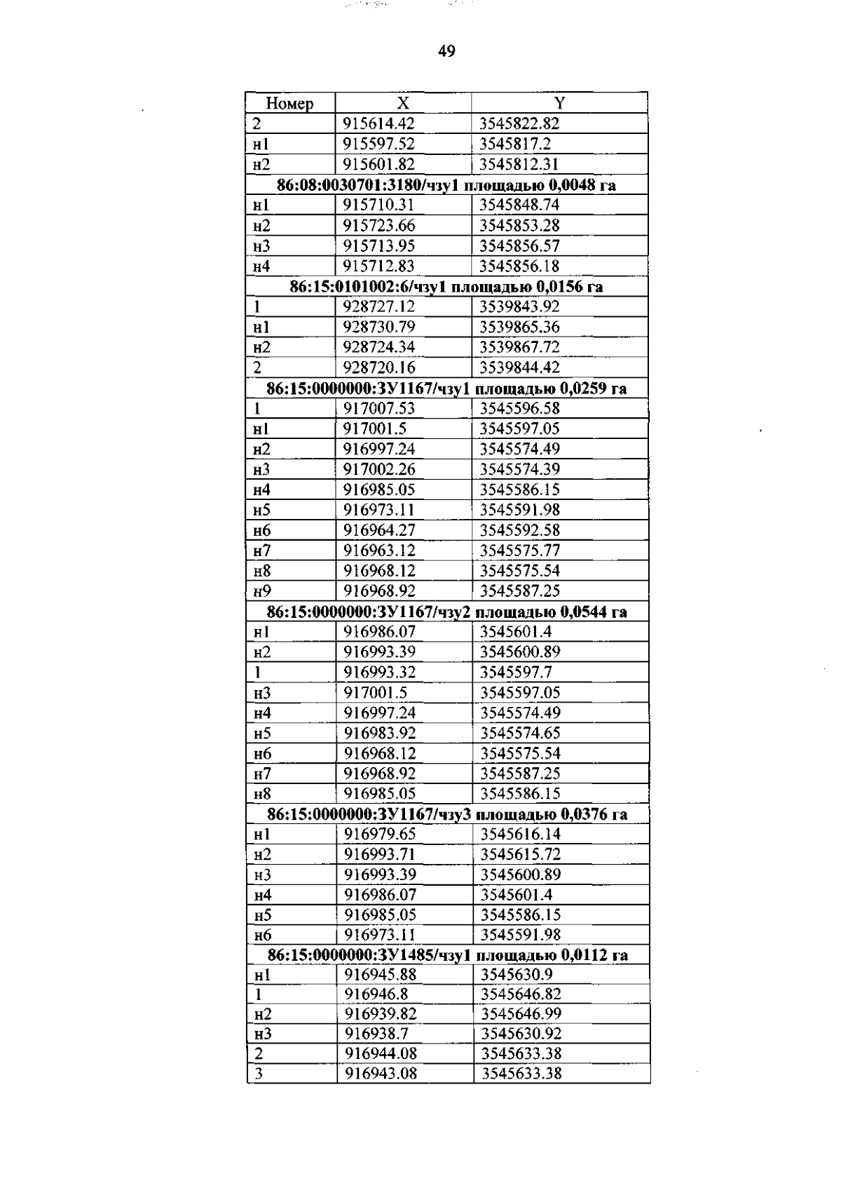
Приказ Департамента пространственного развития и архитектуры Ханты-Мансийского автономного округа - Югры от 25.06.2024 № 35-нп
"Об утверждении документации по планировке территории"
(Зарегистрирован 01.07.2024 № 7596)
Номер опубликования: 8601202407080002
Дата опубликования: 08.07.2024
Страница №49 из 52:
Увеличить