Официальное опубликование правовых актов
ОФИЦИАЛЬНОЕ ОПУБЛИКОВАНИЕ
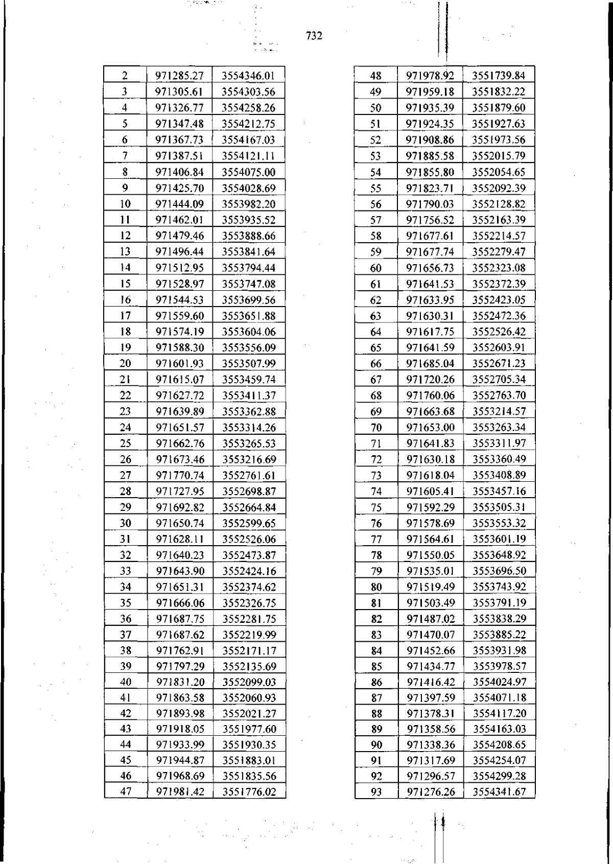
Приказ Департамента пространственного развития и архитектуры Ханты-Мансийского автономного округа - Югры от 21.02.2024 № 7-нп
"О внесении изменений в приказ Департамента строительства Ханты-Мансийского автономного округа – Югры от 7 июля 2021 года №14-нп "Об утверждении документации по планировке территории и внесении изменений в приказ Департамента строительства Ханты-Мансийского автономного округа – Югры от 24 января 2019 года № 2-нп "Об утверждении документации по планировке территории и внесении изменений в некоторые приказы Департамента строительства Ханты-Мансийского автономного округа – Югры"
(Зарегистрирован 28.02.2024 № 7403 )
Номер опубликования: 8601202403040003
Дата опубликования: 04.03.2024
Страница №732 из 857:
Увеличить