Официальное опубликование правовых актов
ОФИЦИАЛЬНОЕ ОПУБЛИКОВАНИЕ
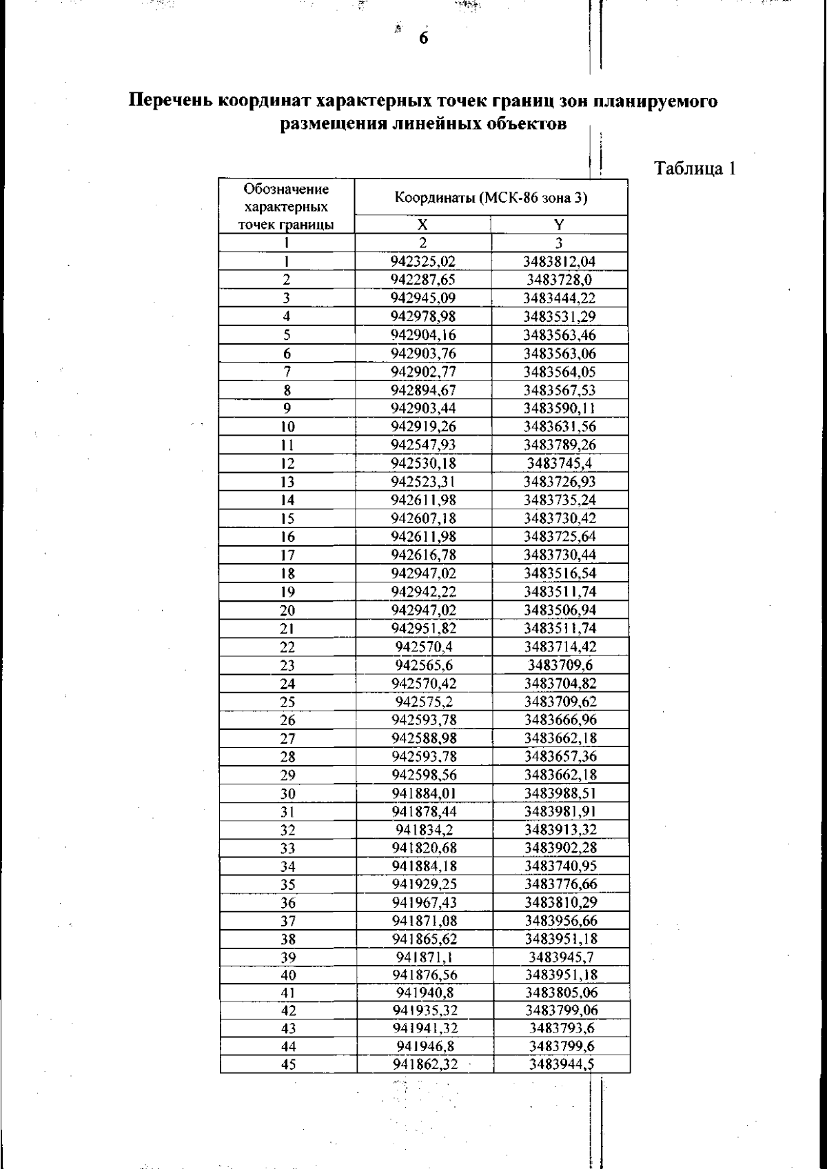
Приказ Департамента пространственного развития и архитектуры Ханты-Мансийского автономного округа - Югры от 21.02.2024 № 8-нп
"Об утверждении документации по планировке территории"
(Зарегистрирован 27.02.2024 № 7402 )
Номер опубликования: 8601202403040002
Дата опубликования: 04.03.2024
Страница №6 из 10:
Увеличить