Официальное опубликование правовых актов
ОФИЦИАЛЬНОЕ ОПУБЛИКОВАНИЕ
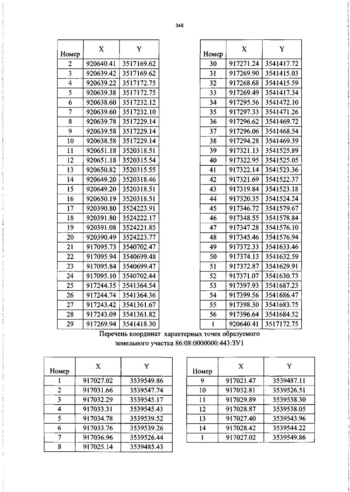
Приказ Департамента пространственного развития и архитектуры Ханты-Мансийского автономного округа - Югры от 10.11.2023 № 54-нп
"О внесении изменений в приказ Департамента пространственного развития и архитектуры Ханты-Мансийского автономного округа – Югры от 21 декабря 2022 года № 23-нп "Об утверждении документации по планировке территории"
(Зарегистрирован 15.11.2023 № 7094)
Номер опубликования: 8601202311170002
Дата опубликования: 17.11.2023
Страница №348 из 440:
Увеличить