Официальное опубликование правовых актов
ОФИЦИАЛЬНОЕ ОПУБЛИКОВАНИЕ
Приказ Департамента пространственного развития и архитектуры Ханты-Мансийского автономного округа - Югры от 26.12.2022 № 25-нп
"Об утверждении документации по планировке территории"
(Зарегистрирован 28.12.2022 № 6576)
Номер опубликования: 8601202212300003
Дата опубликования: 30.12.2022
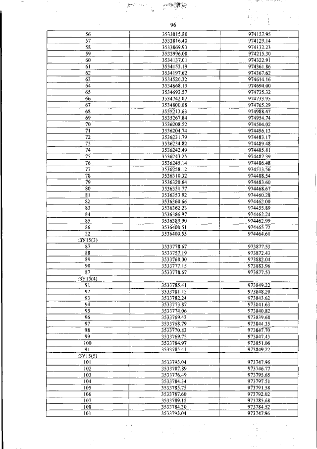
Страница №96 из 115:
Увеличить