Официальное опубликование правовых актов
ОФИЦИАЛЬНОЕ ОПУБЛИКОВАНИЕ
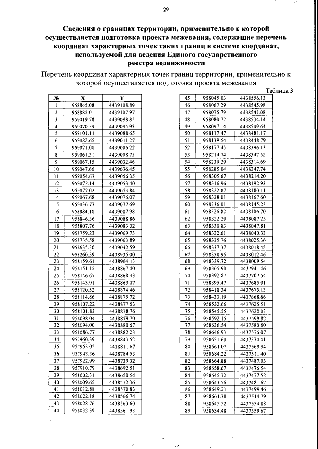
Приказ Департамента строительства Ханты-Мансийского автономного округа – Югры от 05.05.2022 № 14-нп
"Об утверждении документации по планировке территории"
(Зарегистрирован 13.05.2022 № 6103)
Номер опубликования: 8601202205190001
Дата опубликования: 19.05.2022
Страница №29 из 53:
Увеличить