Официальное опубликование правовых актов
ОФИЦИАЛЬНОЕ ОПУБЛИКОВАНИЕ
Приказ Департамента строительства Ханты-Мансийского автономного округа – Югры от 29.03.2022 № 8-нп
"О внесении изменений в приказ Департамента строительства Ханты-Мансийского автономного округа – Югры от 9 декабря 2021 года № 37-нп "Об утверждении документации по планировке территории"
(Зарегистрирован 01.04.2022 № 6017)
Номер опубликования: 8601202204050001
Дата опубликования: 05.04.2022
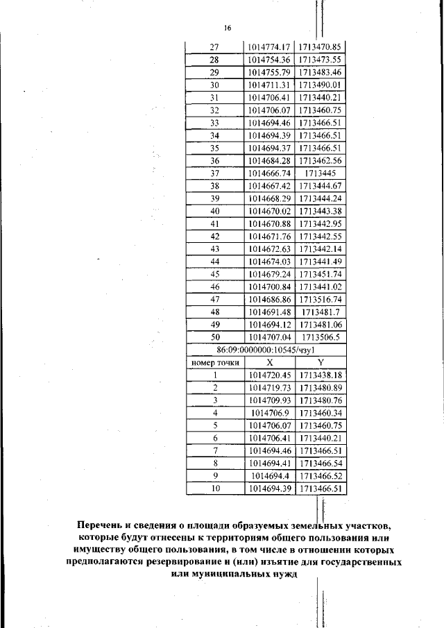
Страница №16 из 29:
Увеличить