Официальное опубликование правовых актов
ОФИЦИАЛЬНОЕ ОПУБЛИКОВАНИЕ
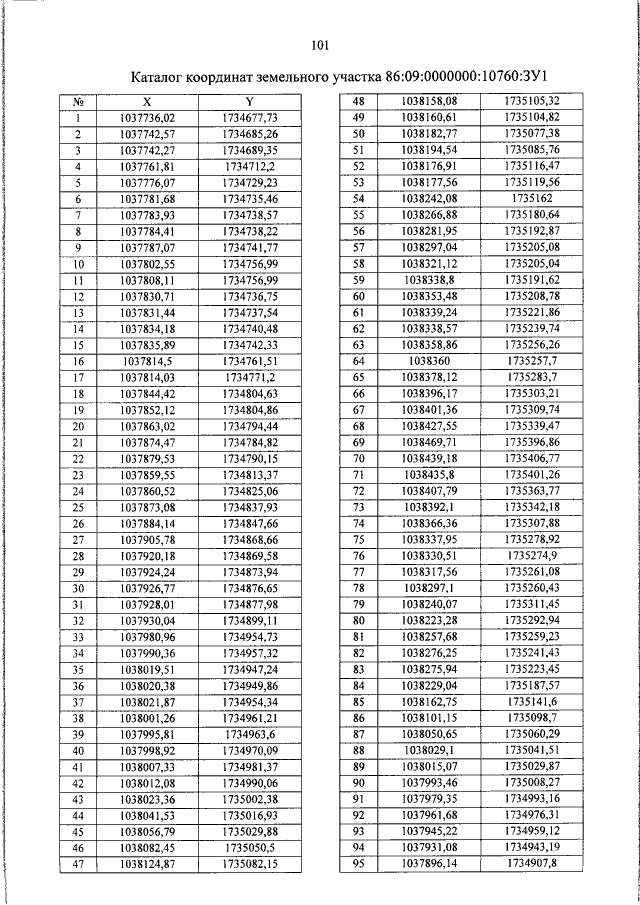
Приказ Департамента строительства Ханты-Мансийского автономного округа – Югры от 06.03.2020 № 6-нп
"Об утверждении документации по планировке территории для размещения объекта регионального значения Ханты-Мансийского автономного округа – Югры"
(Зарегистрирован 16.03.2020 № 4898)
Номер опубликования: 8601202003180004
Дата опубликования: 18.03.2020
Страница №101 из 183:
Увеличить