Официальное опубликование правовых актов
ОФИЦИАЛЬНОЕ ОПУБЛИКОВАНИЕ
Постановление Правительства Ханты-Мансийского автономного округа - Югры от 13.04.2021 № 126-п
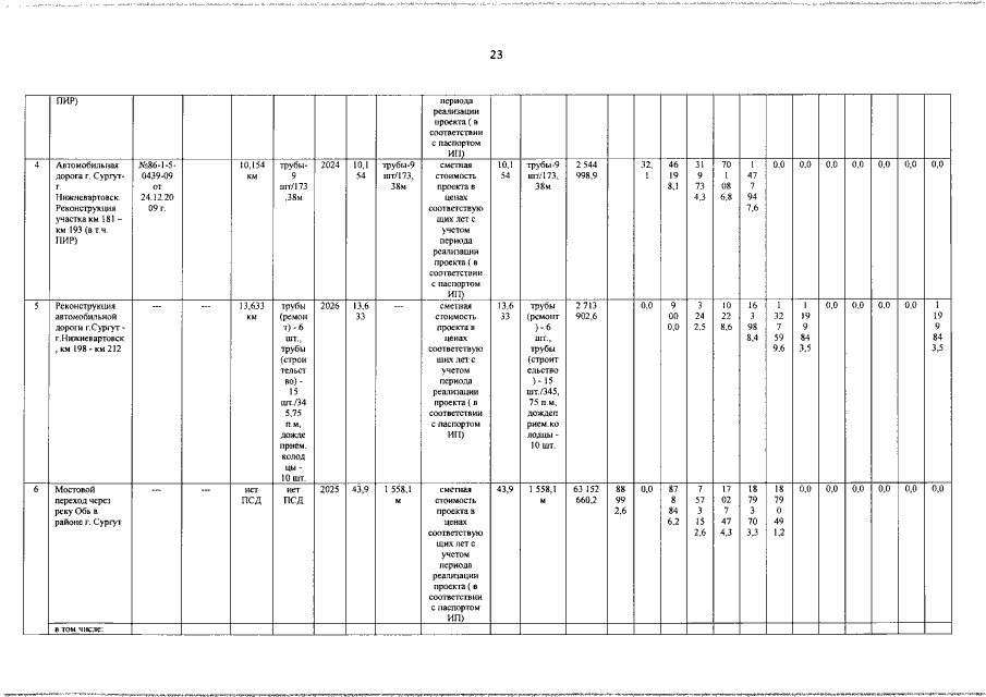
"О внесении изменений в постановление Правительства Ханты-Мансийского автономного округа – Югры от 5 октября 2018 года № 354-п "О государственной программе Ханты-Мансийского автономного округа – Югры "Современная транспортная система"
Номер опубликования: 8600202104160001
Дата опубликования: 16.04.2021
Страница №23 из 32:
Увеличить