Официальное опубликование правовых актов
ОФИЦИАЛЬНОЕ ОПУБЛИКОВАНИЕ
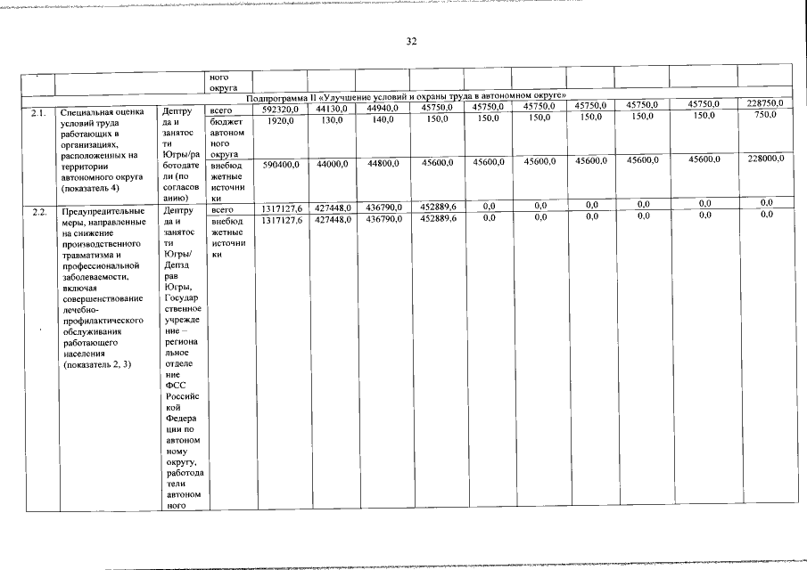
Постановление Правительства Ханты-Мансийского автономного округа - Югры от 13.10.2017 № 389-п
"О внесении изменений в постановление Правительства Ханты-Мансийского автономного округа – Югры от 9 октября 2013 года № 409-п "О государственной программе Ханты-Мансийского автономного округа – Югры "Содействие занятости населения в Ханты-Мансийском автономном округе – Югре на 2016 – 2020 годы"
Номер опубликования: 8600201710180002
Дата опубликования: 18.10.2017
Страница №32 из 46:
Увеличить