Официальное опубликование правовых актов
ОФИЦИАЛЬНОЕ ОПУБЛИКОВАНИЕ
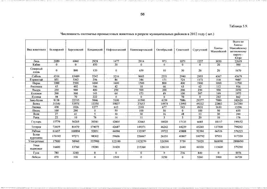
Постановление Губернатора Ханты-Мансийского автономного округа - Югры от 11.05.2017 № 54
"О внесении изменений в приложение к постановлению Губернатора Ханты-Мансийского автономного округа – Югры от 24 июня 2013 года № 84 "О схеме размещения, использования и охраны охотничьих угодий на территории Ханты-Мансийского автономного округа – Югры"
Номер опубликования: 8600201705170001
Дата опубликования: 17.05.2017
Страница №56 из 277:
Увеличить