Официальное опубликование правовых актов
ОФИЦИАЛЬНОЕ ОПУБЛИКОВАНИЕ
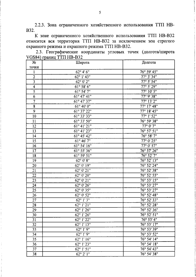
Постановление Правительства Ханты-Мансийского автономного округа - Югры от 03.11.2016 № 432-п
"Об утверждении положения о правовом режиме территории традиционного природопользования коренных малочисленных народов Севера регионального значения №№ НВ-В32, НВ-В34, НВ-К13, НВ-К18, НВ-О22, С-8Л, С-7У, С-2Р, С-16С, С-14Л"
Номер опубликования: 8600201611090013
Дата опубликования: 09.11.2016
Страница №5 из 119:
Увеличить